Category: 2026
-
2026 Race Calendars [Update]
IMSA, WEC, ELMS, ALMS Date Series Race name Venue December 2025 12–14 Dec ALMS Race 1 & 2 Sepang International Circuit January 2026 16–18 Jan IMSA Roar Before the Rolex 24 Daytona International Speedway 21–25 Jan IMSA Rolex 24 At Daytona Daytona International Speedway 29 Jan–1 Feb ALMS Race 3 & 4 Dubai Autodrome February
-
IMSA and WEC Reset
After all cars are re-homologated in WindShear and many cars have undergone significant development it feels like we have something of a reset. While their finite number and strict use under the series rules has been exaggerated to the level of a fundamental constant and law in physics, the use of jokers has seen an
-
FIA WEC Circuits 2026
Circuit Maps of all the 2026 Venues Round 1 Round 2 Round 3 Round 4 Round 5 Round 6 Round 7 Round 8
-
2011 Le Mans – Retrospective
Entries – Classes – Marques – Tyres – Map – Resources 79e 24 Heures du Mans Entries Practice and Qualifying LM GTE Am LM GTE ProLM P1 LM P2 QualifyingSummary HourlyUpdate RaceLM GTE Am LM GTE ProLM P1 LM P2 RaceResult 56 Entries Class GTE PRO was the most populous class in 2011, but there was
-
Welcome to the Sportscar Race Analysis
Here we will look at how races unfolded, build-up to races went, differences in manufacturer, team and driver performance, and how different series compare.
-
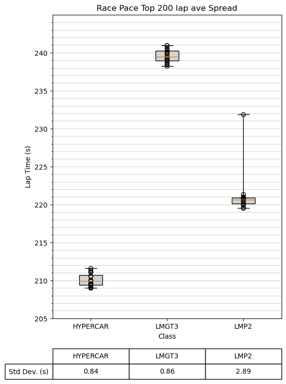
WEC Imola. Lap charts and Performance Review
That’s it folks, end of the year. Hypercar Performance – LMGT3 Performance Hourly Chart Lap Chart Closeness Relative Performance– Hypercar The good old Top 10 and Top 60%, with bonus Top 20%. Sectors Speed Trap Drivers Ironman goes to the top driver in this list. Relative Performance– LMGT3 Due to the nature of the Pro-Am
-
Imola Hourly Update
FIA WEC 2026 Round 1 Imola. Winner Toyota #8. Battle Hourly Positions Lap Chart Record Tracking Previous Race Distances Watch this!
-
Long Beach Race
Race Charts! GTP Lap times Let’s combine these for the cars. GTD How close was it? Safety Car History on Long Beach Street Circuit Year SCs SC Lap count RaceDistance Winner 2017 6 5 + 4 + 3 + 6 + 6 = 24 63 Konica Minolta Cadillac DPi-V.R 2018 2 5 + 8 =
-
Long Beach Practice Sessions
Includes qualifying. Charts not words GTP Laps completed GTP Lap Times All the laptimes for all the cars GTP Sector Times GTD Laps completed GTD Lap Times More of a range of when they are set due to the nature of the class. GTD Sector Times
-
2026 Prologue at Imola (Hypercar)
Laporama Ferrari have already racked up quite a few testing laps at Imola only a couple of weeks ago. Lap Times Speed Trap Data Sector times Drivers

![2026 Race Calendars [Update]](https://racestats.equipe43.com/wp-content/uploads/2026/02/equipe43_2026_big_centered.png)











