-
Alex Zanardi
Legend. Inspiration. Great man. Paralympic.org Indycar.com Thoughts are with his wife, son, and all his family. Tribute Thread on 10-10ths

-
Long Beach Friday Practice Session
GTP – GTDPRO – GTD GTP GTP Laps completed GTP Lap Times All the laptimes for all the cars GTP Sector Times GTD GTD Laps completed GTD Lap Times GTD Sector Times GTDPRO Laps completed Lap Times Sectors Read more…
·
-
Laguna Seca BoP
Everyone gains some performance except Aston Martin. Weight is the main driver, but there are some nuances to the changes. Daytona BoP reset – Sebring BoP Update – Long Beach Update Power to Weight Weight Most of the changes have happened in weight,… Read more…
-
WEC Imola. Lap charts and Performance Review
That’s it folks, end of the year. Hypercar Performance – LMGT3 Performance Hourly Chart Lap Chart Closeness Relative Performance– Hypercar The good old Top 10 and Top 60%, with bonus Top 20%. Sectors Speed Trap Drivers Ironman goes to the top driver in… Read more…
-
Long Beach Race
Race Charts! GTP Lap times Let’s combine these for the cars. GTD How close was it? Safety Car History on Long Beach Street Circuit Year SCs SC Lap count RaceDistance Winner 2017 6 5 + 4 + 3 + 6 + 6 =… Read more…
-
Long Beach Practice Sessions
Includes qualifying. Charts not words GTP Laps completed GTP Lap Times All the laptimes for all the cars GTP Sector Times GTD Laps completed GTD Lap Times More of a range of when they are set due to the nature of the class.… Read more…
·
-
Porsche Split BoP
The difference between the 2025 and 2026 Porsche are laid bare, as is the difference between JDC and Penske. For the first time these cars have different BoP. Daytona BoP reset – Sebring BoP Update Power to Weight Small tweaks apart from Penske!… Read more…
-
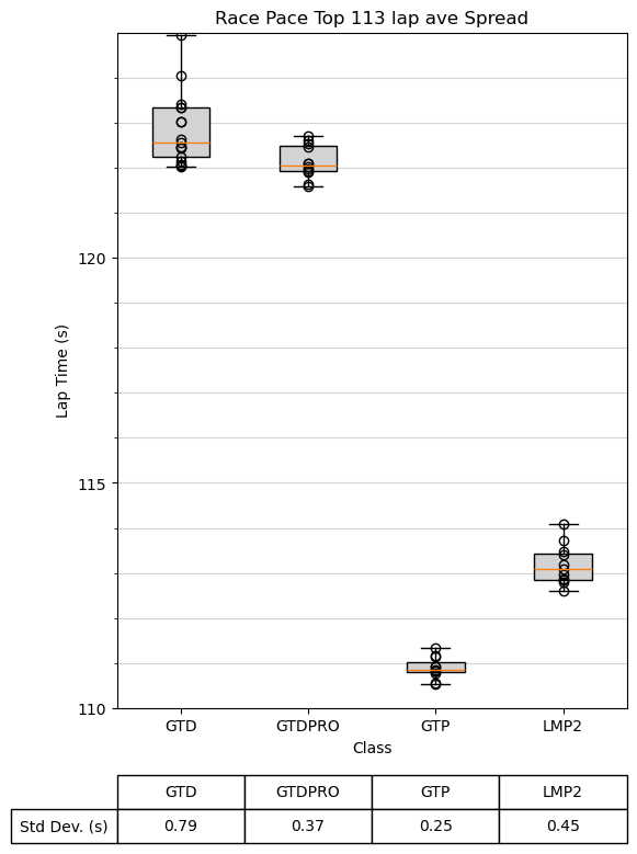
Sebring Tweleve Race Performance
Some dominant performances in all classes. Well done to those teams that just nailed it. GTD – GTD PRO – LMP2 – GTP Lap Chart GTP – #7 Porsche Penske MotorsportThe eventual overall and GTP winner, the No. 7 Porsche 963, looks like… Read more…
-
Sebring Tweleve Hourly Update
IMSA 2026 Round 6 SebringWinner #7 Porsche Penske Motorsport, 343 laps Hourly Update 912, 16, 19, 48, 023, 81, 45, 70, 62, 57 “not running” Recent Race Distances Read more…
-
Sebring 12 All Practice
GTD – GTD PRO – LMP2 – GTP #43 puts in the miles LMP2 Practice laps Inter Europol #43 again led the class on mileage and extended its advantage, ending the first three practices on 132 laps, ahead of CrowdStrike #04 on 130,… Read more…














